昆明市教育体育局 http://jtj.km.gov.cn
新浪微博
手机站
无障碍浏览
长者模式
首页
教育工作
招生考试
德育工作
教育信息化
职教动态
教研公告
教育人才
控辍保学监督专栏
统战工作专栏
政府信息公开
信息公开目录
政府信息公开指南
政府信息公开制度
政策文件
法定主动公开内容
政府信息公开年报
依申请公开
重点领域信息公开
互动交流
政务微博
互动访谈
调查征集
互动公示
领导信箱
政务服务
服务指南
办事指南
国务院客户端
常见问题问答专栏
高校信息
昆明铁道职业技术学院
昆明幼儿师范高等专科学校
教育电视
学生资助
国务院信息:
省政府信息:
首 页
教育工作
工作动态
党风廉政
教育新闻
招生考试
德育工作
教育信息化
职教动态
教研公告
教育人才
控辍保学监督专栏
统战工作专栏
互动交流
政务微博
互动访谈
调查征集
互动公示
领导信箱
服务指南
办事指南
国务院客户端
常见问题问答专栏
教育电视
政府信息公开
政府信息公开指南
政府信息公开制度
政策文件
法定主动公开内容
政府信息公开年报
依申请公开
高校信息
四季如春营商环境
食品安全专栏
招生考试
当前位置:
首页
/
教育工作
/
招生考试
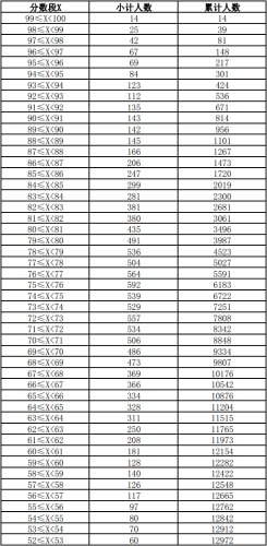
云南省2021年体育类专业统考分数段统计表
发布时间:2021-04-29 10:03
信息来源:云南省招生考试院